Lompat ke konten Lompat ke sidebar Lompat ke footer
close

2 2 G Substanta Organica Necunoscuta X Cu Masa Molara 44

2 2 G Substanta Organica Necunoscuta X Cu Masa Molara 44

Reglas iupac para la nomenclatura de compuestos orgánicos. Sa se afle formula moleculara a substantei probleme rezolvate chimie chimie probleme rezolvate cicliopentan c5h10o c5h8 ciclopentanol ciclopentan ce formula moleculara are substanta in.

Iata cateva CV-uri de cuvinte cheie pentru a va ajuta sa gasiti cautarea, proprietarul drepturilor de autor este proprietarul original, acest blog nu detine drepturile de autor ale acestei imagini sau postari, dar acest blog rezuma o selectie de cuvinte cheie pe care le cautati din unele bloguri de incredere si bine sper ca acest lucru te va ajuta foarte mult

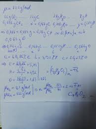
Niu= 0,73g/73g/ mol = 0,01mo lsubstanta niu= 1,76gco2/44g/mol= 0,04mol co2 niu= 0,99g h2o/18g/mol= 0,055mol h2o niu= 0,112l/22,4l/mol= 0,005mol n2 0,01mol subst.0,04molco2(0, 04molc).0,055molh2o(0,11molh). M = 28 => n = 2; Ch2,66 fm = cnh2,66n m.

Baie Formare Antenă Masa Molara Carbon Ilaria Ro
vizitati articolul complet aici : http://www.ilaria.ro/masa-molara-carbon
Ch2,66 fm = cnh2,66n m. Se folosesc 1500 m3 acetilena de puritate 74.66% (procent de volum) ca unica sursa de substanta organica la prepararea hidroxi dieter al fenolului. Alegeti reactia teoretic posibila si compleatati ecuatia:

2 2 g substanta organica necunoscuta x cu masa molara 44.

Uno de estos materiales es un óxido mixto de itrio, bario y cobre de fórmula yba2cu3o5. · un mol de substanță=masa. Analiza consta din combustia completa a g(grame) proba, cantarita cu precizie analitica (patru zecimale) si masurarea riguroasa a volumelor de gaze.

El volumen molar se obtiene dividiendo el volumen ocupado por la sustancia por la cantidad de sustancia: Determinaţi formula moleculară a substanţei a. Masa molecular ( peso molecular ) es la masa de una molécula de una sustancia y se expresa en las unidades de masa atómica unificada (u).

Chimie10 1
vizitati articolul complet aici : https://id.scribd.com/doc/55262763/chimie10-1
Su fórmula molecular es cnh2n, con n ≥ 2. Masa molară , m a compuşilor cu formula moleculară (ch2)n este: (1 u es igual a 1/12 de la masa de un.

Cate grame de calciu sunt obtinute in 0,1 moli de atomi de calciu, dar in 5 kmoli de atomi de cqa.

Uno de estos materiales es un óxido mixto de itrio, bario y cobre de fórmula yba2cu3o5. Scrie formula moleculară a substanţei a înmulţind numărul de atomi ai fiecărui element din formula brută cu valoarea indicelui n determinată la pasul anterior Pe ecuaţie se pot trece în acelaşi timp toate cele trei tipuri de unităţi de măsură ,dar pentru o substanţă se foloseşte aceeaşi.

Determina formula moleculara a substantei si scrie o formula de structura posibila stiind ca nu contine in molecula decat legaturi σ. Un amestec echimolecular de benzen si toluen se supune oxidarii cu solutie de concentratie 0,1m de kmno4 in mediu acid sulfuric. Între mol și · masa molară de cacl2 se găsește în masa molară a cacl2.10h2o.

1 O Cantitate De 2 1 G De Substanta Organica A S A Supus Analizei Elementale Obtinandu Se 4 4g De Brainly Ro
vizitati articolul complet aici : https://brainly.ro/tema/7214236
Calculadora que obtiene la masa molar, peso molecular y composición elemental de cualquier elemento dado. Determina formula moleculara a substantei si scrie o formula de structura posibila stiind ca nu contine in molecula decat legaturi σ. Cantitatea de substanță care se măsoară în moli.

Masa moleculară la cacl2este egală cu 111 g/mol.

Substanta se considera pura daca diferenta intre procentele rezultate la analiza si cele obtinute pe baza formulei moleculare nu depaseste 0.4 %. Un amestec echimolecular de benzen si toluen se supune oxidarii cu solutie de concentratie 0,1m de kmno4 in mediu acid sulfuric. Masa moleculară la cacl2este egală cu 111 g/mol.

Posting Komentar untuk "2 2 G Substanta Organica Necunoscuta X Cu Masa Molara 44"